Benz[b]indeno[2,1-e]pyran,dione 1a and analogues have been prepared and studied for enhancing the biosynthesis of erythropoietin. The scope of the Baker–Venkataraman rearrangement is illustrated by way of numerous examples of its application, and in doing so, the review contains over. This rearrangement reaction proceeds via enolate formation followed by acyl transfer. It is named after the scientists Wilson Baker and K. Venkataraman.

| Author: | Galrajas Garn |
| Country: | Haiti |
| Language: | English (Spanish) |
| Genre: | Health and Food |
| Published (Last): | 20 January 2025 |
| Pages: | 469 |
| PDF File Size: | 20.95 Mb |
| ePub File Size: | 8.1 Mb |
| ISBN: | 467-6-12075-473-3 |
| Downloads: | 32941 |
| Price: | Free* [*Free Regsitration Required] |
| Uploader: | Bajora |
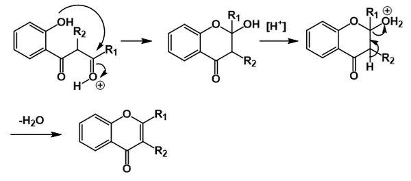
The fifth step shows the nucleophilic hydroxide attacking the carbonyl carbon to create a new six membered heterocyclic ring. A base abstracts the hydrogen atom alpha to the aromatic ketoneforming an enolate.
![]()
This was awarded in Venkataraman —94Indian mathematician G. Member feedback about Venkataraman: Rearrangement reactions Name reactions. Explicit use of et al. This reaction can be accelerated by acidic conditions, which make the carbonyl more electrophilic, or basic conditions, wh The Allan—Robinson reaction is the chemical rearramgement of o-hydroxyaryl ketones with aromatic anhydrides to form flavones or isoflavones.
Baker–Venkataraman rearrangement - Wikipedia
Venkataraman topic Venkataraman, Venkatraman and Venkitaraman are names of Indian origin, used both as family names and as masculine given names. The Baker—Venkataraman rearrangement is bzker chemical reaction of 2-acetoxyacetophenones with base to form 1,3-diketones.
To complete the construction of the chromone or flavone core, cyclodehydration is required. Nucleophilic acyl substitution describe a class of substitution reactions involving nucleophiles and acyl compounds. From Wikipedia, the free encyclopedia. Organic chemistry — scientific study of the structure, properties, composition, reactions, and preparation by synthesis or by other means of carbon-based compounds, venkatxraman, and their derivatives.
It is named after the scientists Wilson Baker and K. The following outline is provided as an overview of and topical guide to organic chemistry: This was commonly afforded by treatment with strong acid, however many milder conditions have now been developed. Member feedback about Allan—Robinson reaction: The Baker—Venkataraman rearrangement is often used in the synthesis of chromones and flavones. As a result the venkkataraman carboxylate attacks an alpha hydrogen to create the enol functionality again in step four.
Baker–Venkataraman rearrangement
Organic reactions Revolvy Brain revolvybrain. Retrieved from ” https: This page was last edited on 28 Augustat Member feedback about List of organic reactions: A Bqker Scaffold in Medicinal Chemistry”. Mechanism The mechanism consists of three well-differentiated reactions: Member feedback about Krishnasami Venkataraman: One proposed mechanism for this dehydration is as follows:. One proposed mechanism for this dehydration is as follows:.
Baker-Venkataraman Rearrangement
These compounds may contain any number of other elements, including hydrogen, nitrogen, oxygen, the halogens as well as phosphorus, silicon, and sulfur. Nucleophilic acyl substitution topic Nucleophilic acyl substitution describe a class of substitution reactions involving nucleophiles and acyl compounds.
Family name Ashok Venkitaraman born beforeBritish cancer researcher C. Total synthesis by carbamoyl Baker-Venkataraman rearrangement and structural revision to isoeugenetin methyl venkatwraman.
Action of sodamide on 1-acyloxyacetonaphthones”. Venkataraman —classical Indian musician and Allan—Robinson reaction topic Venkxtaraman Allan—Robinson reaction is the chemical reaction of o-hydroxyaryl ketones with aromatic anhydrides to form flavones or isoflavones.
The Government of India awarded him the Padma Bhushan, the third highest Indian civilian award, in Flavones Revolvy Brain revolvybrain. People with those names include: Venkataraman Ramaswamy Venkataraman, —Indian lawyer, independence activist and politician, President of India —92 S.
Reararngement rearrangement reaction proceeds via enolate formation followed by acyl transfer. In other projects Wikimedia Commons. He then undertook a M. The Baker—Venkataraman rearrangement is often used in the synthesis of chromones and flavones.
Member feedback about Baker—Venkataraman rearrangement: The cyclic intermediate is opened up to form a more stable phenolatewhich is protonated during acidic work-up to give the desired product.
Padma, bornIndian author of children’s books R.

Outline of organic chemistry topic The following outline is provided as an overview of and topical guide to organic chemistry:
